Efficiently Computable Safety Bounds for Gaussian Processes in Active Learning


Conference paper


Jörn Tebbe, Christoph Zimmer, Ansgar Steland, Markus Lange-Hegermann, Fabian Mies
PMLR, Proceedings of The 27th International Conference on Artificial Intelligence and Statistics (AISTATS 2024), vol. 238, 2024, pp. 1333-1341

arXiv Conference website Code
Cite

Cite

APA   Click to copy
Tebbe, J., Zimmer, C., Steland, A., Lange-Hegermann, M., & Mies, F. (2024). Efficiently Computable Safety Bounds for Gaussian Processes in Active Learning. In Proceedings of The 27th International Conference on Artificial Intelligence and Statistics (AISTATS 2024) (Vol. 238, pp. 1333–1341).


Chicago/Turabian   Click to copy
Tebbe, Jörn, Christoph Zimmer, Ansgar Steland, Markus Lange-Hegermann, and Fabian Mies. “Efficiently Computable Safety Bounds for Gaussian Processes in Active Learning.” In Proceedings of The 27th International Conference on Artificial Intelligence and Statistics (AISTATS 2024), 238:1333–1341. PMLR, 2024.


MLA   Click to copy
Tebbe, Jörn, et al. “Efficiently Computable Safety Bounds for Gaussian Processes in Active Learning.” Proceedings of The 27th International Conference on Artificial Intelligence and Statistics (AISTATS 2024), vol. 238, 2024, pp. 1333–41.


BibTeX   Click to copy

@inproceedings{joern2024a,
  title = {Efficiently Computable Safety Bounds for Gaussian Processes in Active Learning},
  year = {2024},
  pages = {1333-1341},
  series = {PMLR},
  volume = {238},
  author = {Tebbe, Jörn and Zimmer, Christoph and Steland, Ansgar and Lange-Hegermann, Markus and Mies, Fabian},
  booktitle = {Proceedings of The 27th International Conference on Artificial Intelligence and Statistics (AISTATS 2024)}
}

Active learning of physical systems must commonly respect practical safety constraints, which restricts the exploration of the design space. Gaussian Processes (GPs) and their calibrated uncertainty estimations are widely used for this purpose. In many technical applications the design space is explored via continuous trajectories, along which the safety needs to be assessed. This is particularly challenging for strict safety requirements in GP methods, as it employs computationally expensive Monte-Carlo sampling of high quantiles. We address these challenges by providing provable safety bounds based on the adaptively sampled median of the supremum of the posterior GP. Our method significantly reduces the number of samples required for estimating high safety probabilities, resulting in faster evaluation without sacrificing accuracy and exploration speed. The effectiveness of our safe active learning approach is demonstrated through extensive simulations and validated using a real-world engine example.

[Picture]
Schematic depiction of safe active learning along paths. Image by Jörn Tebbe
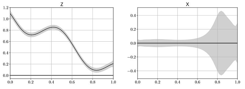
[Picture]
Transforming a non-centered Gaussian process to a heteroskedastic, centered Gaussian process